AKADEMIK DAN KEMAHASISWAAN

JADWAL KULIAH

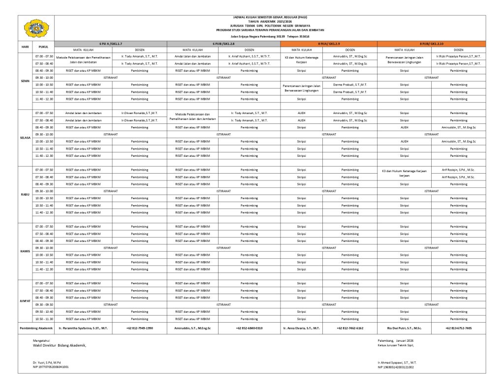
Program Studi Teknik Sipil POLSRI menekankan keseimbangan antara teori dan praktiksehingga setiap kegiatan perkuliahan diatur secara sistematis untuk memaksimalkan pengalaman belajar. Berikut beberapa informasi penting terkait jadwal kuliah:

Translate »
Scroll to Top